控制挥发性有机物、一氧化碳和氮氧化物等大气污染物的排放是改善大气环境品质的有效方法,其中源头控制这些污染物发挥着重要的作用。环境催化法具有效率高、能耗低、二次污染少等优点被广泛应用于大气污染控制的环保领域,其中开发高效催化剂是关键,明晰反应机理是前提。在非均相环境催化反应中,大多数反应机理为基于单个活性位上的定域反应机理。近日,笔趣阁
唐幸福教授课题组提出了一种环境催化的新机理,即电子离域机理,如图1所示。电子离域机理概念的提出为开发高效环境催化剂提供的科学依据,有利于提高大气污染物排放的控制效率。相关的研究成果以题为 “Interplay between remote single-atom active sites triggers speedy catalytic oxidation”,发表于Cell出版社Chem期刊:。

图1、“电子离域机理”概念的示意图。
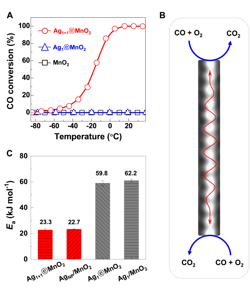
电子离域机理表明在一定的条件下,相对于传统的定域机理,催化反应优先按照电子离域机理进行,即电子在活性位之间的迁移可以有效地降低反应活化能,加快反应速率。电子离域机理概念的提出可能有利于合理地解释一些常见重要的催化现象,如金属纳米效应可以解释为:金属颗粒变小过程中,活性开始上升是由于活性位数目的增加,当金属颗粒发生金属性到非金属性转变时,反应机理由电子离域机理转为定域机理,从而导致活性下降;又如,金属催化剂为什么优于其氧化物催化剂的活性可以从金属导电性能优于其氧化物方面得到合理的解释。因此,电子离域机理概念的提出丰富了催化反应机理的基础理论,为高效催化剂的设计和开发提供了一定的科学依据和理论支撑,为源头控制大气污染物的排放提供了有效技术方案。

图2、EDM和LRM催化剂的性能和反应活化能。
论文第一作者:黄志伟、梁锦霞、汤代明和陈雅欣博士。通讯作者:唐幸福教授和清华大学李隽教授。
该工作得到了国家重点研究计划项目(2021YFB3500601)和国家自然科学基金(21777030, 91645203, 22076051, 21590792 和21976037)等基金的支持。
供稿:唐幸福课题组
编辑:薛睿彬
审核:张立武